![]() |
| La hidrostática una de las aplicaciones de la mecánica de fluidos. Imagen de khabarnaama |
En este artículo definiremos a la mecánica de fluidos, su importancia, las ecuaciones que la rigen y sus aplicaciones.
Tabla de contenidos
- ✔¿Qué es un fluido?
- ✔¿Qué es la mecánica de fluidos?
- ✔Ecuaciones que rigen a la mecánica de fluidos
- ✔La ecuación de la continuidad
- ✔La ecuación de la cantidad de movimiento
- ✔La ecuación de la conservación de la energía
- ✔Importancia de la mecánica de fluidos
- ✔Aplicaciones de la mecánica de fluidos
¿Qué es un fluido?
![]() |
| Un líquido derramándose es un ejemplo de fluido. Imagen de thoughtco |
Para poder entender por completo el concepto de mecánica de fluidos, es importante conocer qué es un fluido:
Un fluido es un cuerpo que tiene la capacidad de fluir, careciendo de toda rigidez y elasticidad. Debido a estas características, cede inmediatamente ante cualquier fuerza que altere su forma, adoptando la forma del recipiente que lo contiene.
Un fluido puede ser líquido (fluido incompresible) o gas (fluido compresible), ya que estos estados de la materia se amoldan perfectamente a la definición anterior. Podemos resumir entonces que lo que define a un fluido es su comportamiento y no su composición.
Asimismo, podemos decir que un fluido es una sustancia que se deforma de manera continua cuando es sometida a un esfuerzo de corte o fuerza tangencial. Hay que tener en cuenta que un fluido en reposo no soporta ningún esfuerzo de corte. Existe otra clasificación más profunda de los fluidos, que es la siguiente:
- Fluido newtoniano: Fluido con viscosidad constante.
- Fluido no newtoniano: Fluido con viscosidad variable en función de la temperatura y la tensión cortante.
Esta clasificación de fluidos la describiremos más detalladamente en un próximo artículo.
¿Qué es la mecánica de fluidos?
![]() |
| Explicación gráfica de la mecánica de fluidos. Imagen de uwaterlooca |
La mecánica de fluidos, como su nombre lo indica, es un área de la mecánica orientada a estudiar a los fluidos. Para lograr su objetivo, utiliza los principios de la mecánica clásica. La mecánica de fluidos se encuentra ligada directamente a la ingeniería, desde la ingeniería mecánica, hasta la hidráulica, pasando por la construcción.
El estudio de la mecánica de fluidos considera dos tipos de fluidos:
- Fluido en reposo: Son aquellos que ejercen una fuerza sobre las paredes de los recipientes que los contienen y sobre cualquier objeto que se encuentre sumergido en ellos. Esta fuerza es conocida como presión hidrostática.
- Fluido en movimiento: Son fluidos que no se encuentran estáticos, un ejemplo de ello son las corrientes de aire, el agua en un río o saliendo a través de una tubería. El estudio de líquidos en movimiento se conoce como hidrodinámica, mientras que el estudio de los gases en movimiento se conoce como aerodinámica.
Podemos definir a la mecánica de fluidos como:
La mecánica de fluidos es la rama de la física que se encarga de estudiar a los fluidos y las fuerzas que los provocan.
La mecánica de fluidos también estudia las interacciones entre el fluido y el entorno que lo limita. La mecánica de fluidos se encuentra basada en diversas leyes, entre las cuales podemos destacar a la primera y la segunda ley de la termodinámica, además de la ley de conservación de la masa y la cantidad de movimiento. El estudio de la mecánica de fluidos parte de hipótesis, las cuales permiten desarrollar conceptos.
Hipótesis del medio continuo
Es la base fundamental de toda la mecánica de fluidos y permite desarrollar todos los conceptos asociados a esta. Sostiene que el fluido es continuo a lo largo del espacio que ocupa, lo que lleva a ignorar la estructura molecular del fluido y las discontinuidades asociadas a esta. Esta hipótesis considera que las propiedades del fluido son continuas (densidad, temperatura, etc).Partícula fluida
Es uno de los conceptos de mayor relevancia en la mecánica de fluidos, encontrándose estrechamente relacionado con la hipótesis del medio continuo. Podemos definir a una partícula fluida como la masa elemental de un fluido que se encuentra en un punto del espacio en un instante de tiempo. Esta masa debe ser lo suficientemente grande para poder ser integrada por un gran número de moléculas, y lo suficientemente pequeña para considerar que no hay variaciones en las propiedades macroscópicas del fluido.La partícula fluida se encuentra en movimiento con la misma velocidad macroscópica del fluido, ya que se encuentra conformada por las mismas moléculas. Cabe destacar, que un punto específico del espacio en diferentes instantes de tiempo, estará conformado por distintas partículas fluidas.
Descripciones del movimiento de los fluidos
Durante el estudio del movimiento del fluido, podemos encontrar un par de puntos de vista diferentes: Descripción Lagrangiana y descripción Euleriana.Descripción Langragiana
Se basa en seguir a cada una de las partículas fluidas en su movimiento, de modo, que podamos encontrar las funciones que permitan describir la posición de dichas partículas, así como, las propiedades de cada partícula fluida en cada instante de tiempo del estudio.Descripción Euleriana
Consiste en asignar a cada punto del espacio, en cada instante de tiempo de estudio, un valor único para las propiedades del fluido sin tomar en cuenta que la partícula fluida ocupa ese volumen diferencial. Como podemos notar, no se encuentra ligada a la partícula fluida, sino a los puntos espaciales ocupados por el fluido en un instante de tiempo. Esta descripción es la más utilizada para deducir y obtener las ecuaciones generales de la mecánica de fluidos.Ecuaciones que rigen a la mecánica de fluidos
![]() |
| Esquema de la mecánica de fluidos. Imagen de slideplayer |
Como el estudio de cualquier área de la ciencia, se requiere del uso de ecuaciones para poder describir, en este caso, el movimiento del fluido. Para deducir estas ecuaciones, hay que aplicar el principio de conservación de la energía y las leyes de la termodinámica a un volumen de fluido.
Asimismo, hay que generalizar dichas ecuaciones, para ello, se utilizan el Teorema de Gauss y el Teorema del transporte de Reynolds, de modo, que podamos obtener ecuaciones mucho más manejables y útiles para la formulación euleriana. Existen, principalmente, tres ecuaciones básicas para el estudio de la mecánica de fluidos:
- La ecuación de la continuidad
- La ecuación de la cantidad de movimiento
- La ecuación de la conservación de la energía
A continuación, describiremos cada una de estas ecuaciones:
La ecuación de la continuidad
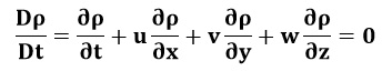
Al aplicar la ley de conservación de la masa a un elemento infinitesimal, se puede obtener la ecuación diferencial de la continuidad. Esta ecuación relaciona los campos de la densidad y la velocidad. Tomando la segunda ley de Newton, se producen tres ecuaciones diferenciales parciales, las cuales son conocidas como las ecuaciones de Navier-Stokes. Estas ecuaciones relacionan la presión, la densidad y la velocidad, y además introducen a la viscosidad y a la gravedad en el flujo de fluido.La primera ley de la termodinámica, proporciona la ecuación diferencial de energía relacionada con la temperatura, velocidad, densidad y presión, e introduce el calor específico y la conductividad.
Para deducir la ecuación de la continuidad se toma como sistema un pequeño volumen en un flujo de fluido. Debemos considerar que en un volumen, como un cubo o un prisma, el flujo de masa pasa a través de cada una de las caras del volumen de control. Al sistema se le aplica la ley de conservación de la masa, resultando la siguiente ecuación:
Siendo la acumulación de masa el término del lado derecho de la ecuación, del lado izquierdo, encontramos primero la masa que entra y luego la masa que sale del volumen. Ahora, aplicamos el balance al sistema quedando de la siguiente manera:
Restando los términos apropiados y dividiendo entre dxdydz, nos queda:
Considerando que la densidad es variable, se diferencian los productos, obteniendo:
O expresada así:
Siendo esta la forma más general de la ecuación diferencial de continuidad expresada en coordenadas rectangulares. Ahora, al introducir el operador de gradiente, llamado “del”, el cual en coordenadas rectangulares es:
La ecuación queda de la siguiente forma:
Donde:
Esta forma de la ecuación de continuidad no se refiere a cualquier sistema de coordenadas, siendo esta la forma de expresar la ecuación de continuidad mediante varios sistemas de coordenadas.
En el caso de que se estudie un flujo incompresible, se observa que la densidad de la partícula de un fluido no cambia a medida que se desplaza, quedando de esta manera:
Esta suposición es mucho menos restrictiva que la suposición de densidad constante. Ahora, resumiendo la ecuación de continuidad para flujo incompresible, nos queda de la siguiente forma:
O en forma vectorial:
La ecuación de la cantidad de movimiento
![]() |
| El transporte de fluidos es una de las aplicaciones de la mecánica de fluidos. Imagen de iene |
La ecuación diferencial de cantidad de movimiento es una ecuación vectorial y proporciona tres ecuaciones escalares, que la hacen mucho más atractiva que la ecuación de continuidad al calcular la velocidad o la presión de un flujo incompresible. Esta ecuación cuenta con 9 componentes de esfuerzo que actúan en un punto particular de un flujo de fluido.
Las componentes de esfuerzo que actúan en un punto se muestran como componentes rectangulares bi y tridimensionales. Se considera que estos elementos son un punto cúbico. Estas componentes de esfuerzo actúan en dirección positiva en una cara positiva y en dirección negativa en una cara negativa.
Aplicando la segunda ley de Newton a una partícula de fluido en dirección a la componente X, tenemos que:
Para una partícula tridimensional, quedaría la siguiente expresión:
Donde el componente del vector gravedad (g) que actúa sobre x es gx, mientras que Du/Dt es el componente x de la aceleración de la partícula de fluido. Ahora, se divide entre el volumen dxdydz, simplificando la ecuación:
Se aplica el mismo procedimiento para los otros dos ejes coordenados:
Simplificando y asumiendo que el flujo no presenta fricción:
Resumiendo estas ecuaciones en la ecuación general de la cantidad de movimiento:
O en la expresión vectorial, conocida como la ecuación de Euler:
La ecuación de la conservación de la energía
En los problemas de mecánica de fluidos, se presentan situaciones donde no se aprecia gradiente de temperatura, es decir, los flujos de temperatura permanecen constantes en todos sus puntos. Para este tipo de situaciones, no es necesario utilizar la ecuación de conservación diferencial de la energía, no obstante, para flujos compresibles e incompresibles en los que se presentan gradientes de temperatura considerables, se requiere utilizar dicha ecuación.Para derivar la ecuación diferencial de energía se supone que los efectos de viscosidad son insignificantes, lo que simplifica en gran medida a la ecuación y por ende, su derivación. Tomando en cuenta que los efectos cortantes asociados a la viscosidad son casi nulos, esta suposición es aceptable, aunque en ciertas situaciones estos efectos no deben ser despreciados, sino que deben ser tomados en cuenta.
Considerando un elemento de fluido infinitesimal, como cuando se dedujo la ecuación de continuidad, la tasa de transferencia de calor (Q) a través de un área (A), está dada por la ley de Fourier de transferencia de calor:
Donde:
- n: Dirección normal al área.
- T: Temperatura.
- K: Conductividad térmica (constante).
Mientras que la tasa de trabajo realizado, es:
Donde:
- pA: Fuerza de la presión.
- V: Velocidad.
Aplicando la primera ley de la termodinámica a una partícula de fluido, nos queda:
Donde E es la energía de la partícula (sumatoria de la energía cinética, potencial e interna). Podemos expresar esta ecuación de la siguiente manera, luego de realizar una simplificación de términos:
Simplificando, llegamos a la ecuación de conservación de la energía:
O expresada en su forma vectorial:
Antes de simplificar la ecuación para un flujo de gas incompresible, expresaremos a la energía interna en función de la entalpía:
Quedando de la siguiente forma:
Importancia de la mecánica de fluidos
![]() |
| Las turbinas eólicas son una aplicación de la mecánica de fluidos. Imagen de ecoinventos |
La mecánica de fluidos tiene una gran importancia en la vida cotidiana, ya que su uso y conocimiento permite diseñar sistemas de tuberías, así como, la construcción de represas y estanques diseñados para contener grandes cantidades de agua (peso de fluido). Asimismo, ha permitido la creación de transporte motorizado, como vehículos aéreos, terrestres y marítimos.
Podemos decir entonces que gracias al estudio de la mecánica de fluidos se pueden realizar tareas de ingeniería que tienen que ver con el transporte de fluidos, siendo la mecánica de fluidos la base para el estudio de los fenómenos de transporte.
Aplicaciones de la mecánica de fluidos
La mecánica de fluidos posee una gran cantidad de aplicaciones en diferentes áreas de la ciencia y de la ingeniería, como mecánica, química y civil. Entre las aplicaciones más destacadas, tenemos las siguientes:- Acústica
- Aerodinámica
- Aeroelasticidad
- Hidrostática
- Hidrodinámica
- Máquinas hidráulicas
- Oleohidráulica
- Reología
- Tránsito vehicular
Mecánica de fluidos: Definición y aplicaciones by Ing. Bulmaro Noguera is licensed under a Creative Commons Reconocimiento-NoComercial-SinObraDerivada 4.0 Internacional License

































2 Comentarios
excelente publicacion
ResponderBorrarGracias por tu comentario!
Borrar